&format=webp&quality=medium)
Personal Finance: आज के समय में सबसे बड़ी फाइनेंशियल गलती क्या होती है?
बिना कैलकुलेशन के फैसले लेना.
लोग लोन ले लेते हैं, निवेश कर देते हैं, टैक्स भर देते हैं- लेकिन पहले कैलकुलेशन नहीं करते. यहीं से शुरू होता है नुकसान.
सच्चाई ये है कि आज हर स्मार्ट निवेशक, सैलरीड प्रोफेशनल और बिजनेसमैन बड़े फैसले लेने से पहले फाइनेंशियल कैलकुलेटर का इस्तेमाल करता है, क्योंकि ये टूल भविष्य का अनुमान पहले ही दिखा देते हैं.
आज हम भारत में सबसे ज्यादा उपयोगी 5 कैलकुलेटर को बहुत डिटेल में समझेंगे. हम जानेंगे कोई कैलकुलेटर..
वो भी असली जिंदगी के उदाहरण के साथ
यह आपकी कुल आय (Total Income), डिडक्शन और टैक्स स्लैब के आधार पर टैक्स निकालता है.
बेसिक फॉर्मूला: Taxable Income = Total Income – Deductions – Exemptions
स्टेप-बाय-स्टेप कैलकुलेशन: हम नए टैक्स रिजीम के तहत वित्त वर्ष 2025-26 के टैक्स स्लैब को स्टैंडर्ड मानकर आगे बढ़ते हैं.
मान लीजिए:
Salary = ₹15,00,000
Deductions (NPS, Home Loan Interest) = ₹2,00,000
Taxable Income = 15,00,000 - 2,00,000 = ₹13,00,000
अब स्लैब के हिसाब से टैक्स लगेगा. नीचे देखिए न्यू इनकम टैक्स रिजीम के तहत स्लैब्स.

अब देखिए कैलकुलेशन
0-4 लाख रुपये- कोई टैक्स नहीं
4-8 लाख रुपये- 5 फीसदी= 20 हजार रुपये
8-12 लाख रुपये- 10 फीसदी= 40 हजार रुपये
12-13 लाख रुपये- 15 फीसदी= 15 हजार रुपये
टोटल टैक्स= 75 हजार रुपये
अगर आपकी सैलरी ज्यादा या कम है तो आप उसी हिसाब से आंकड़े बदल सकते हैं. बता दें कि नए टैक्स रिजीम में 12 लाख रुपये तक की टैक्सेबल इनकम होने पर आपको 87ए के तहत रिबेट मिल जाती है और सारा टैक्स जीरो हो जाता है.
ये भी पढ़ें- Tax Refund Explainer: स्टेटस जानने और कैलकुलेशन से लेकर इसके रुकने की वजहों तक.. एक ही जगह पर जान लीजिए सब कुछ
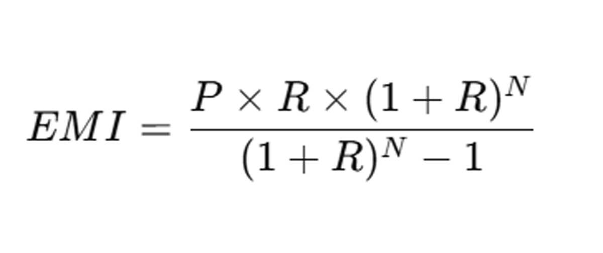
EMI का फॉर्मूला:

जहां:
P = Principal (लोन की राशि)
R = Monthly Interest Rate (ब्याज दर)
N = Months (महीनों की संख्या)
उदाहरण:
Loan Amount (P) = ₹10,00,000
Interest Rate = 10% सालाना
Monthly Interest (R) = 10% ÷ 12 = 0.83% = 0.00833
Tenure (N) = 60 महीने

पूरा लोन ब्रेकडाउन
Monthly EMI: ₹21,247
Total Payment (5 साल): ₹12,74,820 (लगभग)
Total Interest Paid: ₹2,74,820 (लगभग)
ये भी पढ़ें- RBI Credit Card Rules: बैंक नहीं आप हैं बॉस! मर्जी के बिना कार्ड आने से लेकर ब्याज के खेल तक, जानिए क्या हैं नियम
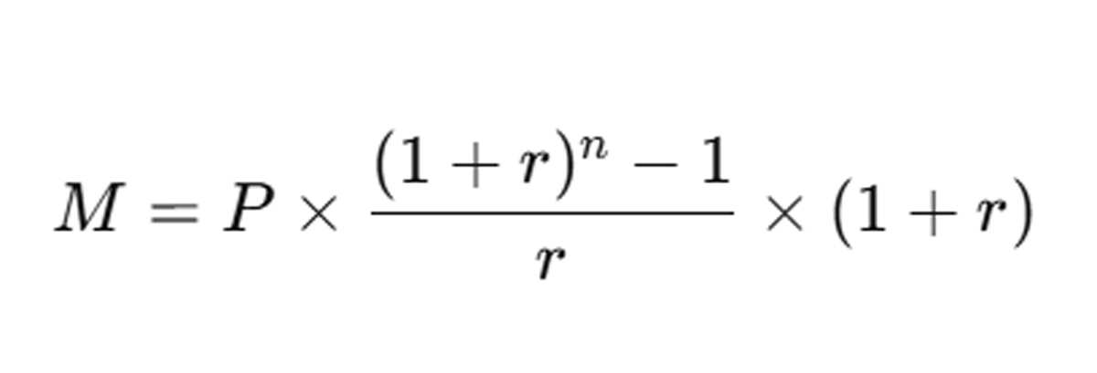
SIP का फॉर्मूला:

जहां:
P = Monthly Investment
r = Monthly Return Rate
n = Months
उदाहरण:
Monthly SIP (P) = ₹5,000
Annual Return = 12%
Monthly Return (r) = 12% ÷ 12 = 1% = 0.01
Time = 20 साल = 240 महीने (n)

तो कितना हो जाएगा कॉर्पस?
Total Invested: ₹5,000 × 240 = ₹12,00,000
Estimated Final Value: ₹49,90,000 – ₹50,00,000 (लगभग)
Wealth Gained (Profit): ₹38,00,000+ (लगभग)
अगर रिटर्न बदल जाए तो क्या होगा?
| Return | Final Value (20 साल) |
|---|---|
| 8% | ~ ₹29 लाख |
| 10% | ~ ₹38 लाख |
| 12% | ~ ₹50 लाख |
| 15% | ~ ₹76 लाख |
ये भी पढ़ें- ICICI Bank ने बदल दिया Minimum Amount Due के कैलकुलेशन का तरीका, Credit Card वाले तुरंत करें चेक
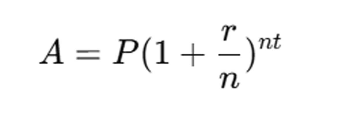
FD फॉर्मूला (Compound Interest):

जहां:
A = Maturity Amount
P = Principal
r = Interest Rate
n = Compounding Frequency (4)
t = Time (Years)
उदाहरण:
Principal (P) = ₹1,00,000
Interest Rate (r) = 7% सालाना = 0.07
Time (t) = 5 साल
Compounding = Quarterly (साल में 4 बार)

FD Calculator Final Result (5 साल)
Maturity Amount: ₹1,41,400 (लगभग)
Total Interest Earned: ₹41,400 (लगभग)
ये भी पढ़ें- क्या आप एक से ज्यादा PPF Account खोल सकते हैं? जानिए क्या कहते हैं नियम, गलती की तो क्या होगा?
In-Hand Salary = CTC – (PF + Tax + Deductions) + Reimbursements
उदाहरण:
CTC = ₹15 LPA
PF = ₹1,00,000
NPS = ₹1,00,000
Tax = ₹75,000
In-Hand = ₹12.25 लाख
ये भी पढ़ें- क्या मैं अपने कुक या मेड के लिए Term Insurance ले सकता हूं? जानिए सही, कानूनी और प्रैक्टिकल तरीका
आज के समय में जो लोग कैलकुलेटर का इस्तेमाल करते हैं, वही सही फाइनेंशियल फैसले लेते हैं. चाहे लोन लेना हो, टैक्स बचाना हो, निवेश करना हो या रिटायरमेंट प्लान करना हो- ये 10 कैलकुलेटर आपकी फाइनेंशियल लाइफ को पूरी तरह बदल सकते हैं. अगर आप बिना कैलकुलेशन के फैसले लेते हैं, तो आप अनुमान पर चल रहे हैं. लेकिन अगर आप कैलकुलेटर के साथ फैसले लेते हैं, तो आप डेटा के आधार पर अमीर बनने की दिशा में आगे बढ़ रहे हैं.
Q1. सबसे ज्यादा उपयोगी कैलकुलेटर कौन सा है?
EMI और Income Tax Calculator सबसे ज्यादा उपयोगी हैं.
Q2. क्या SIP Calculator सटीक रिजल्ट देता है?
हां, यह अनुमानित लेकिन काफी विश्वसनीय रिजल्ट देता है.
Q3. क्या GST Calculator बिजनेस के लिए जरूरी है?
हां, यह टैक्स गणना को बेहद आसान बना देता है.
Q4. क्या Retirement Calculator जरूरी है?
लॉन्ग टर्म फाइनेंशियल प्लानिंग के लिए बेहद जरूरी.
Q5. क्या कैलकुलेटर से फाइनेंशियल नुकसान बचाया जा सकता है?
हां, सही कैलकुलेशन से गलत फैसलों से बचा जा सकता है.
(ताजा खबरों के लिए आप हमारे WhatsApp Channel को सब्सक्राइब जरूर करें)